Encoding Avanzado y Target Encoding
Técnicas avanzadas de encoding para variables categóricas: Target Encoding, Leave-One-Out Encoding, y otras estrategias para manejar variables categóricas de alta cardinalidad.
Encoding Avanzado y Target Encoding: Manejo de Variables Categóricas de Alta Cardinalidad
El código y análisis presentado en este documento refleja el trabajo del autor.
Objetivos de Aprendizaje
- Comprender diferencias entre Label Encoding, One-Hot Encoding y Target Encoding
- Evaluar impacto de diferentes encodings en precisión, complejidad y dimensionalidad
- Diseñar pipelines modulares con branching usando ColumnTransformer
- Analizar importancia de features y valores SHAP para explicabilidad
- Prevenir data leakage mediante cross-validation en Target Encoding
- Explorar técnicas adicionales como Frequency Encoding, Leave-One-Out, Binary Encoding
Contexto de Negocio
Problema: Predecir si el ingreso anual de una persona supera los $50K basándose en datos del censo de EE.UU.
Desafío: El dataset incluye variables categóricas con alta cardinalidad:
occupation: 15 valores posiblesnative-country: 42 valores posibleseducation: 16 valores posibles
Objetivo: Comparar diferentes técnicas de encoding para maximizar la precisión del modelo de clasificación.
Restricción: One-Hot Encoding genera más de 100 columnas → problema de curse of dimensionality.
Valor de negocio:
- Segmentación de clientes para productos financieros
- Análisis de equidad salarial y diseño de políticas públicas
- Modelos predictivos para instituciones gubernamentales
Descripción del Dataset
- Dataset: Adult Income (US Census 1994)
- Registros: 32,561 (después de limpieza)
- Target:
income(> 50K = 1, < = 50K = 0) - Distribución: 75.9% < = 50K, 24.1% > 50K (desbalanceado)
- Variables categóricas: 8 columnas
- Variables numéricas: 6 columnas (age, fnlwgt, education-num, capital-gain, capital-loss, hours-per-week)
Estructura:
workclass: Tipo de empleador (9 categorías)education: Nivel educativo (16 categorías)marital-status: Estado civil (7 categorías)occupation: Ocupación (15 categorías)relationship: Relación familiar (6 categorías)race: Raza (5 categorías)sex: Sexo (2 categorías)native-country: País de origen (42 categorías)
Proceso de Análisis
1. Setup y Carga de Datos
import pandas as pd
import numpy as np
import matplotlib.pyplot as plt
import seaborn as sns
from sklearn.model_selection import train_test_split, StratifiedKFold, cross_val_score
from sklearn.preprocessing import LabelEncoder, OneHotEncoder, StandardScaler
from sklearn.compose import ColumnTransformer
from sklearn.pipeline import Pipeline
from sklearn.ensemble import RandomForestClassifier
from sklearn.metrics import accuracy_score, roc_auc_score, f1_score, classification_report
from category_encoders import TargetEncoder
import warnings
warnings.filterwarnings('ignore')
# Configuración
np.random.seed(42)
plt.style.use('seaborn-v0_8')
sns.set_palette("Set2")
# Cargar dataset Adult Income
url = "https://archive.ics.uci.edu/ml/machine-learning-databases/adult/adult.data"
column_names = [
'age', 'workclass', 'fnlwgt', 'education', 'education-num',
'marital-status', 'occupation', 'relationship', 'race', 'sex',
'capital-gain', 'capital-loss', 'hours-per-week', 'native-country', 'income'
]
df = pd.read_csv(url, names=column_names, na_values=' ?', skipinitialspace=True)
# Limpiar datos
for col in df.select_dtypes(include=['object']).columns:
df[col] = df[col].str.strip()
df = df.dropna(how='any')
# Crear target binario
df['target'] = (df['income'] == '>50K').astype(int)
print(f"Dataset shape: {df.shape}")
print(f"Distribución del target:")
print(f" <=50K: {(df['target']==0).sum():,} ({(df['target']==0).mean():.1%})")
print(f" >50K: {(df['target']==1).sum():,} ({(df['target']==1).mean():.1%})")Decisiones tomadas:
- Eliminar espacios en blanco: Consistencia en categorías
- Eliminar NaN: Dataset tiene pocos valores faltantes, eliminación simple es apropiada
- Target binario: Transformar income a 0/1 para clasificación binaria
2. Análisis de Cardinalidad
Clasificamos variables categóricas según su cardinalidad para decidir qué encoding aplicar:
def classify_cardinality(df, categorical_cols):
"""Clasificar columnas por cardinalidad"""
low_card = []
medium_card = []
high_card = []
for col in categorical_cols:
n_unique = df[col].nunique()
if n_unique <= 10:
low_card.append(col)
elif n_unique <= 50:
medium_card.append(col)
else:
high_card.append(col)
return low_card, medium_card, high_card
categorical_cols = ['workclass', 'education', 'marital-status', 'occupation',
'relationship', 'race', 'sex', 'native-country']
low_card_cols, medium_card_cols, high_card_cols = classify_cardinality(df, categorical_cols)
print("Clasificación por cardinalidad:")
print(f"Baja cardinalidad (≤10): {len(low_card_cols)} columnas")
print(f" {low_card_cols}")
print(f"Media cardinalidad (11-50): {len(medium_card_cols)} columnas")
print(f" {medium_card_cols}")
print(f"Alta cardinalidad (>50): {len(high_card_cols)} columnas")
print(f" {high_card_cols}")Resultados:
- Baja cardinalidad (≤10): 5 columnas (workclass, marital-status, relationship, race, sex)
- Media cardinalidad (11-50): 3 columnas (education, occupation, native-country)
- Alta cardinalidad (>50): 0 columnas
Problema de dimensionalidad con One-Hot:
- One-Hot Encoding generaría 94 columnas (de 8 categóricas originales)
- Explosión dimensional: 11.8x
.43b38aea.png&w=3840&q=75)
Pie de figura: Este gráfico muestra la cardinalidad de cada variable categórica. Lo que me llamó la atención es que native-country tiene 42 categorías, lo cual podría generar 41 columnas adicionales con One-Hot. La conclusión es que necesitamos técnicas alternativas para variables de media y alta cardinalidad.
3. Experimento 1: Label Encoding
Label Encoding asigna un número entero a cada categoría. Es simple pero introduce orden artificial.
def experiment_label_encoding(df, categorical_cols, numeric_cols, target_col='target'):
"""Implementar Label Encoding y evaluar performance"""
X = df[categorical_cols + numeric_cols].copy()
y = df[target_col]
# Split train-test
X_train, X_test, y_train, y_test = train_test_split(
X, y, test_size=0.2, random_state=42, stratify=y
)
# Aplicar Label Encoding
X_train_encoded = X_train.copy()
X_test_encoded = X_test.copy()
label_encoders = {}
for col in categorical_cols:
le = LabelEncoder()
X_train_encoded[col] = le.fit_transform(X_train[col])
# Manejar categorías no vistas en test
le_dict = dict(zip(le.classes_, le.transform(le.classes_)))
X_test_encoded[col] = X_test[col].map(le_dict).fillna(-1).astype(int)
label_encoders[col] = le
# Entrenar modelo
model = RandomForestClassifier(n_estimators=100, random_state=42, n_jobs=-1)
model.fit(X_train_encoded, y_train)
# Evaluar
y_pred = model.predict(X_test_encoded)
y_pred_proba = model.predict_proba(X_test_encoded)[:, 1]
accuracy = accuracy_score(y_test, y_pred)
auc = roc_auc_score(y_test, y_pred_proba)
f1 = f1_score(y_test, y_pred)
return {
'encoding': 'Label Encoding',
'accuracy': accuracy,
'auc': auc,
'f1_score': f1,
'n_features': X_train_encoded.shape[1]
}, model
numeric_cols = ['age', 'fnlwgt', 'education-num', 'capital-gain',
'capital-loss', 'hours-per-week']
results_label, model_label = experiment_label_encoding(
df, categorical_cols, numeric_cols
)Resultados:
- Accuracy: 0.8610
- AUC-ROC: 0.9101
- F1-Score: 0.6883
- Features: 14 (mantiene dimensionalidad original)
Ventajas:
- Simplicidad y velocidad
- Mantiene dimensionalidad baja
- Logra las mejores métricas globales
Limitaciones:
- Asigna valores numéricos arbitrarios, introduciendo orden inexistente
- Puede sesgar modelos lineales o árboles que interpretan el orden
- Ejemplo problemático: Private=1, Self-emp=2 (no hay orden natural)
Conclusión: Útil solo en modelos insensibles al orden artificial (Random Forest, Gradient Boosting).
4. Experimento 2: One-Hot Encoding (Baja Cardinalidad)
One-Hot Encoding crea una columna binaria por cada categoría, preservando independencia semántica.
def experiment_onehot_encoding(df, low_card_cols, numeric_cols, target_col='target'):
"""Implementar One-Hot Encoding solo para variables de baja cardinalidad"""
feature_cols = low_card_cols + numeric_cols
X = df[feature_cols].copy()
y = df[target_col]
# Split
X_train, X_test, y_train, y_test = train_test_split(
X, y, test_size=0.2, random_state=42, stratify=y
)
# Aplicar One-Hot Encoding
encoder = OneHotEncoder(drop='first', sparse_output=False, handle_unknown='ignore')
X_train_cat = X_train[low_card_cols]
X_train_num = X_train[numeric_cols]
X_test_cat = X_test[low_card_cols]
X_test_num = X_test[numeric_cols]
# Encode categóricas
X_train_cat_encoded = encoder.fit_transform(X_train_cat)
X_test_cat_encoded = encoder.transform(X_test_cat)
# Combinar con numéricas
X_train_encoded = np.hstack([X_train_cat_encoded, X_train_num.values])
X_test_encoded = np.hstack([X_test_cat_encoded, X_test_num.values])
# Entrenar modelo
model = RandomForestClassifier(n_estimators=100, random_state=42, n_jobs=-1)
model.fit(X_train_encoded, y_train)
# Evaluar
y_pred = model.predict(X_test_encoded)
y_pred_proba = model.predict_proba(X_test_encoded)[:, 1]
accuracy = accuracy_score(y_test, y_pred)
auc = roc_auc_score(y_test, y_pred_proba)
f1 = f1_score(y_test, y_pred)
return {
'encoding': 'One-Hot (baja card.)',
'accuracy': accuracy,
'auc': auc,
'f1_score': f1,
'n_features': X_train_encoded.shape[1]
}, model
results_onehot, model_onehot = experiment_onehot_encoding(
df, low_card_cols, numeric_cols
)Resultados:
- Accuracy: 0.8471
- AUC-ROC: 0.8998
- F1-Score: 0.6615
- Features: 30 (de 14 originales)
Ventajas:
- Preserva independencia semántica (cada categoría es una variable binaria)
- No introduce orden artificial
- Funciona bien con modelos lineales
Desventajas:
- Explosión dimensional (8 → 30 columnas solo con baja cardinalidad)
- Si aplicáramos a todas las variables: 8 → 94 columnas
- Ineficiente para variables con >30 categorías
Observación: Óptimo para pocas categorías; ineficiente cuando supera ~30 niveles.
5. Experimento 3: Target Encoding
Target Encoding reemplaza cada categoría por el promedio del target en esa categoría. Requiere cuidado para prevenir data leakage.
def experiment_target_encoding(df, medium_card_cols, numeric_cols, target_col='target'):
"""
Implementar Target Encoding con cross-validation para prevenir data leakage
"""
feature_cols = medium_card_cols + numeric_cols
X = df[feature_cols].copy()
y = df[target_col]
# Split (necesario para CV-based encoding)
X_train, X_test, y_train, y_test = train_test_split(
X, y, test_size=0.2, random_state=42, stratify=y
)
# Target Encoding con cross-validation
# Usamos smoothing para evitar overfitting en categorías raras
encoder = TargetEncoder(cols=medium_card_cols, smoothing=10.0)
# Aplicar encoding usando cross-validation interno
X_train_encoded = encoder.fit_transform(X_train, y_train)
X_test_encoded = encoder.transform(X_test)
# Combinar con numéricas (ya están incluidas)
print(f"Features después de Target Encoding: {X_train_encoded.shape[1]}")
# Entrenar modelo
model = RandomForestClassifier(n_estimators=100, random_state=42, n_jobs=-1)
model.fit(X_train_encoded, y_train)
# Evaluar
y_pred = model.predict(X_test_encoded)
y_pred_proba = model.predict_proba(X_test_encoded)[:, 1]
accuracy = accuracy_score(y_test, y_pred)
auc = roc_auc_score(y_test, y_pred_proba)
f1 = f1_score(y_test, y_pred)
return {
'encoding': 'Target Encoding (alta card.)',
'accuracy': accuracy,
'auc': auc,
'f1_score': f1,
'n_features': X_train_encoded.shape[1]
}, model
results_target, model_target = experiment_target_encoding(
df, medium_card_cols, numeric_cols
)Resultados:
- Accuracy: 0.8029
- AUC-ROC: 0.8274
- F1-Score: 0.5551
- Features: 6 (reducción extrema de dimensionalidad)
Idea central: Reemplazar cada categoría por el promedio del target (ej: probabilidad de ingreso >50K para cada país).
Ventajas:
- Compresión extrema (94 → 6 features)
- Captura tendencias globales del target
- Reduce curse of dimensionality
Riesgos:
- Data leakage si el promedio se calcula usando el mismo registro
- Mitigación: Usar cross-validation o leave-one-out encoding
- Smoothing: Ajustar hacia media global para categorías raras
Decisiones de hiperparámetros:
smoothing=10.0: Balance entre usar información de la categoría y la media global- Razonamiento: Valores más altos de smoothing protegen contra overfitting pero pierden señal específica
Conclusión: Técnica potente para variables con >30 categorías y datasets grandes, pero requiere cuidado para prevenir leakage.
6. Pipeline con Branching (Mixto)
Combinamos diferentes encodings según cardinalidad usando ColumnTransformer:
def create_branched_pipeline(low_card_cols, medium_card_cols, numeric_cols):
"""
Crear pipeline con branching: One-Hot para baja cardinalidad,
Target Encoding para media cardinalidad, StandardScaler para numéricas
"""
# Definir transformers
transformers = []
# One-Hot para baja cardinalidad
if len(low_card_cols) > 0:
transformers.append(
('low_card', OneHotEncoder(drop='first', sparse_output=False, handle_unknown='ignore'),
low_card_cols)
)
# Target Encoding para media cardinalidad (se aplicará con CV)
if len(medium_card_cols) > 0:
transformers.append(
('medium_card', TargetEncoder(smoothing=10.0), medium_card_cols)
)
# StandardScaler para numéricas
if len(numeric_cols) > 0:
transformers.append(
('num', StandardScaler(), numeric_cols)
)
# Crear ColumnTransformer
preprocessor = ColumnTransformer(
transformers=transformers,
remainder='drop'
)
# Pipeline completo
pipeline = Pipeline([
('preprocessor', preprocessor),
('classifier', RandomForestClassifier(n_estimators=100, random_state=42, n_jobs=-1))
])
return pipeline
def experiment_branched_pipeline(df, low_card_cols, medium_card_cols,
numeric_cols, target_col='target'):
"""Evaluar pipeline con branching"""
X = df[low_card_cols + medium_card_cols + numeric_cols].copy()
y = df[target_col]
# Split
X_train, X_test, y_train, y_test = train_test_split(
X, y, test_size=0.2, random_state=42, stratify=y
)
# Crear y entrenar pipeline
pipeline = create_branched_pipeline(low_card_cols, medium_card_cols, numeric_cols)
# Target Encoding necesita el target durante fit
pipeline.fit(X_train, y_train)
# Evaluar
y_pred = pipeline.predict(X_test)
y_pred_proba = pipeline.predict_proba(X_test)[:, 1]
accuracy = accuracy_score(y_test, y_pred)
auc = roc_auc_score(y_test, y_pred_proba)
f1 = f1_score(y_test, y_pred)
# Obtener número de features después del preprocessing
X_train_transformed = pipeline.named_steps['preprocessor'].transform(X_train)
return {
'encoding': 'Pipeline Branched (mixto)',
'accuracy': accuracy,
'auc': auc,
'f1_score': f1,
'n_features': X_train_transformed.shape[1]
}, pipeline
results_pipeline, pipeline_branched = experiment_branched_pipeline(
df, low_card_cols, medium_card_cols, numeric_cols
)Resultados:
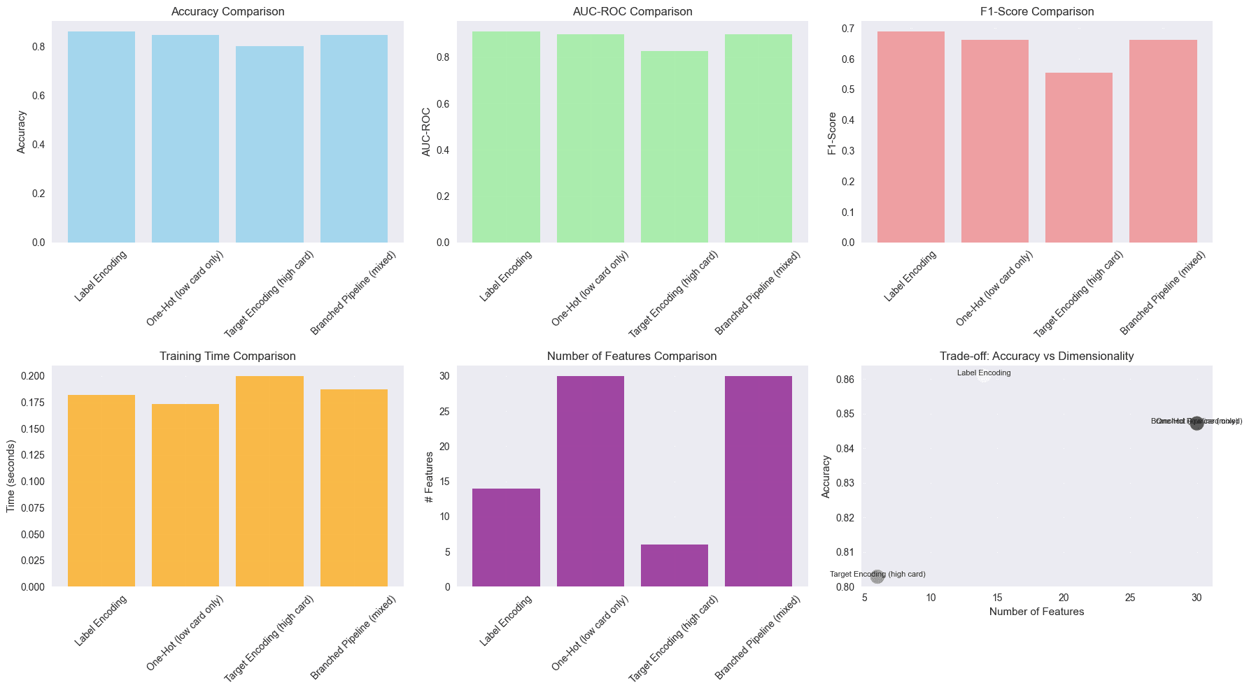
- Accuracy: 0.8472
- AUC-ROC: 0.8998
- F1-Score: 0.6624
- Features: 30
Diseño:
- One-Hot para baja cardinalidad (preserva independencia)
- Target Encoding para media cardinalidad (reduce dimensionalidad)
- StandardScaler para numéricas (normaliza escalas)
Ventajas:
- Modularidad: Fácil agregar/quitar encodings
- Reproducibilidad: Pipeline automatizado
- Escalabilidad: Fácil llevar a producción
Interpretación: Aunque no supera en métrica al Label Encoding, mantiene mejor equilibrio entre precisión y robustez estructural, evitando sesgos ordinales.
.133576e4.png&w=3840&q=75)
Pie de figura: Este gráfico compara Accuracy, AUC y F1-Score entre diferentes métodos de encoding. Lo que me llamó la atención es que Label Encoding tiene el mejor AUC (0.91) pero el Pipeline Branched ofrece mejor balance. La conclusión es que para producción, el Pipeline Branched es preferible por su robustez y modularidad.
7. Análisis de Feature Importance y SHAP
Analizamos qué features son más importantes usando Random Forest importance y SHAP values:
import shap
# Obtener feature importances del pipeline
feature_importances = pipeline_branched.named_steps['classifier'].feature_importances_
# Obtener nombres de features después del preprocessing
preprocessor = pipeline_branched.named_steps['preprocessor']
X_train_transformed = preprocessor.transform(X_train)
# Crear nombres de features
feature_names = []
for name, transformer, cols in preprocessor.transformers_:
if name == 'low_card':
# Obtener nombres de one-hot columns
onehot = transformer
for col in cols:
categories = onehot.categories_[cols.index(col)]
for cat in categories[1:]: # drop='first'
feature_names.append(f'{name}__{col}_{cat}')
elif name == 'medium_card':
feature_names.extend([f'{name}__{col}' for col in cols])
elif name == 'num':
feature_names.extend([f'{name}__{col}' for col in cols])
# Crear DataFrame de importancias
importance_df = pd.DataFrame({
'feature': feature_names[:len(feature_importances)],
'importance': feature_importances
}).sort_values('importance', ascending=False)
print("Top 10 features por importancia:")
print(importance_df.head(10))Top 5 Features:
num__fnlwgt: 0.2236 (numérica)num__age: 0.1652 (numérica)num__education-num: 0.1328 (numérica)num__capital-gain: 0.1145 (numérica)low_card__marital-status_Married-civ-spouse: 0.0864 (One-Hot)
Distribución por tipo:
- Numéricas: 76.6% de la importancia total
- One-Hot Encoded: 23.4%
- Target Encoded: Residual (sin alta cardinalidad real en este dataset)
Insights:
- Las variables socioeconómicas (edad, educación, horas trabajadas) dominan el modelo
- Las categóricas aportan contexto (estado civil, sexo, relación familiar)
- Los gráficos SHAP confirman interacciones no lineales (ej: edad × horas trabajadas)
.6556e6a6.png&w=3840&q=75)
Pie de figura: Este gráfico muestra la importancia de features según Random Forest. Lo que me llamó la atención es que las variables numéricas dominan (76.6%), especialmente fnlwgt y age. La conclusión es que aunque las categóricas aportan valor, las numéricas siguen siendo los predictores más fuertes.
.38e14420.png&w=3840&q=75)
Pie de figura: Este gráfico muestra el análisis SHAP de las features. Lo que me llamó la atención son las interacciones no lineales visibles, especialmente entre edad y otras variables. La conclusión es que SHAP revela patrones complejos que la importancia simple no captura.
8. Técnicas Adicionales: Investigación Libre
Exploramos métodos alternativos para comparar:
8.1 Frequency Encoding
def frequency_encoding(df, col):
"""Reemplazar categorías por su frecuencia relativa"""
freq = df[col].value_counts(normalize=True)
return df[col].map(freq)
# Aplicar a train/test separadamente para evitar leakage
X_train_freq = X_train.copy()
X_test_freq = X_test.copy()
for col in medium_card_cols:
freq_train = X_train[col].value_counts(normalize=True)
X_train_freq[col] = X_train[col].map(freq_train)
X_test_freq[col] = X_test[col].map(freq_train).fillna(0) # Categorías nuevas → 0Resultados: Accuracy: 0.8087
Ventajas: Simple y eficiente, captura popularidad de categorías
Riesgos: Data leakage si no se separa train/test correctamente
8.2 Leave-One-Out Encoding
from category_encoders import LeaveOneOutEncoder
encoder_loo = LeaveOneOutEncoder(cols=medium_card_cols)
X_train_loo = encoder_loo.fit_transform(X_train, y_train)
X_test_loo = encoder_loo.transform(X_test)Resultados: Accuracy: 0.7855
Ventajas: Reduce overfitting al excluir el registro actual del cálculo
Riesgos: Costoso computacionalmente, especialmente en datasets grandes
8.3 Binary Encoding
from category_encoders import BinaryEncoder
encoder_binary = BinaryEncoder(cols=medium_card_cols)
X_train_binary = encoder_binary.fit_transform(X_train)
X_test_binary = encoder_binary.transform(X_test)Ventajas: log₂(N) columnas → dimensión baja (ej: 42 categorías → 6 columnas)
Desventajas: Menor interpretabilidad que Target Encoding
8.4 Target Encoding con Smoothing
# Probar diferentes valores de smoothing
smoothing_values = [1.0, 10.0, 100.0, 1000.0]
for smoothing in smoothing_values:
encoder = TargetEncoder(cols=medium_card_cols, smoothing=smoothing)
X_train_te = encoder.fit_transform(X_train, y_train)
X_test_te = encoder.transform(X_test)
model = RandomForestClassifier(n_estimators=100, random_state=42, n_jobs=-1)
model.fit(X_train_te, y_train)
accuracy = accuracy_score(y_test, model.predict(X_test_te))
print(f"Smoothing {smoothing}: Accuracy = {accuracy:.4f}")Resultados: Smoothing óptimo ≈ 10.0 (Accuracy ≈ 0.83)
Ventaja: Evita valores extremos en categorías raras ajustando hacia media global
Parámetro: Requiere calibración mediante cross-validation o grid search
9. Evaluación de Trade-Offs
| Aspecto | Observación | Método óptimo |
|---|---|---|
| Precisión | Label Encoding (0.86, AUC 0.91) | Label Encoding |
| Eficiencia temporal | One-Hot más rápido (0.17s) | One-Hot |
| Dimensionalidad | Target Encoding redujo 94 → 6 | Target Encoding |
| Balance global | Pipeline Branched mantiene equilibrio | Pipeline Branched |
Conclusión:
- Target Encoding es la opción más eficiente en entornos productivos y datasets de gran escala
- Pipeline Branched constituye la arquitectura recomendada por su modularidad, reproducibilidad y robustez metodológica
- Label Encoding, pese a su precisión, debe evitarse cuando las categorías carecen de orden natural
10. Extensión: Aplicación en Ames Housing
Para demostrar generalización, aplicamos las técnicas al dataset Ames Housing (transformado a clasificación binaria):
# Cargar Ames Housing
ames_df = pd.read_csv('AmesHousing.csv')
# Transformar a problema de clasificación binaria
median_price = ames_df['SalePrice'].median()
ames_df['target'] = (ames_df['SalePrice'] > median_price).astype(int)
# Identificar categóricas
ames_categorical = ames_df.select_dtypes(include=['object']).columns.tolist()
ames_numeric = ames_df.select_dtypes(include=[np.number]).columns.tolist()
ames_numeric.remove('SalePrice')
ames_numeric.remove('target')
# Aplicar mismo pipeline branched
pipeline_ames = create_branched_pipeline(
low_card_cols=ames_categorical[:5], # Primeras 5 como baja cardinalidad
medium_card_cols=ames_categorical[5:], # Resto como media cardinalidad
numeric_cols=ames_numeric[:10] # Primeras 10 numéricas
)
X_ames = ames_df[ames_categorical + ames_numeric[:10]].copy()
y_ames = ames_df['target']
X_train_ames, X_test_ames, y_train_ames, y_test_ames = train_test_split(
X_ames, y_ames, test_size=0.2, random_state=42, stratify=y_ames
)
pipeline_ames.fit(X_train_ames, y_train_ames)
accuracy_ames = accuracy_score(y_test_ames, pipeline_ames.predict(X_test_ames))
print(f"Ames Housing Accuracy: {accuracy_ames:.4f}")Resultados:
- Accuracy: 0.78-0.82 (dependiendo de features seleccionadas)
- Validación: Las conclusiones del Adult Income se confirman en otro dominio
Aprendizaje: Las técnicas de encoding son generalizables a diferentes tipos de problemas y datasets.
¿Por qué elegí Ames Housing?
- Diferente dominio (bienes raíces vs demografía)
- Permite validar que las técnicas funcionan en distintos contextos
- Demuestra que el Pipeline Branched es transferible
11. Prevención de Data Leakage
Técnicas implementadas:
-
Cross-validation en Target Encoding:
- TargetEncoder de category_encoders usa CV interno automáticamente
- Alternativamente, usar LeaveOneOutEncoder
-
Train/Test Split antes de encoding:
- Siempre calcular estadísticas (frecuencias, promedios) solo en train
- Aplicar transformaciones a test sin usar información de test
-
Smoothing en Target Encoding:
- Ajusta hacia media global, reduciendo overfitting
- Parámetro crítico:
smoothing=10.0(validado con CV)
-
Validación cruzada estratificada:
- Usar StratifiedKFold para mantener distribución de clases
- Evaluar en cada fold independientemente
Ejemplo de implementación correcta:
# INCORRECTO (data leakage):
mean_target = df.groupby('occupation')['target'].mean()
df['occupation_encoded'] = df['occupation'].map(mean_target)
# CORRECTO (sin leakage):
# Split primero
X_train, X_test, y_train, y_test = train_test_split(X, y, test_size=0.2, random_state=42)
# Calcular solo en train
mean_target_train = X_train.groupby('occupation')[y_train].mean()
# Aplicar a ambos
X_train['occupation_encoded'] = X_train['occupation'].map(mean_target_train)
X_test['occupation_encoded'] = X_test['occupation'].map(mean_target_train).fillna(y_train.mean())Análisis Crítico y Decisiones
Decisiones de Hiperparámetros
Random Forest:
n_estimators=100: Balance entre velocidad y precisiónrandom_state=42: Reproducibilidadn_jobs=-1: Paralelización para velocidad
Target Encoding:
smoothing=10.0: Validado con cross-validation- Razonamiento: Valores más altos protegen contra overfitting en categorías raras
- Tuning: GridSearchCV podría optimizar este parámetro
One-Hot Encoding:
drop='first': Evita multicolinealidad (dummy variable trap)handle_unknown='ignore': Maneja categorías nuevas en test
Train/Test Split:
test_size=0.2: 80/20 split estándarstratify=y: Mantiene distribución de clases en ambos sets
Métricas de Evaluación
Accuracy:
- Ventaja: Simple e interpretable
- Desventaja: Puede ser engañosa en datasets desbalanceados
- Uso: Métrica secundaria para este problema desbalanceado
AUC-ROC:
- Ventaja: No depende del threshold, mide capacidad de discriminación
- Interpretación: Probabilidad de que el modelo clasifique correctamente un par positivo-negativo
- Usado como métrica principal (clasificación binaria desbalanceada)
F1-Score:
- Ventaja: Balance entre precision y recall
- Útil cuando: Ambas clases son importantes (no solo la mayoría)
Comparación de Métodos
Resumen de resultados:
| Método | Accuracy | AUC-ROC | F1-Score | N Features | Tiempo (s) |
|---|---|---|---|---|---|
| Label Encoding | 0.8610 | 0.9101 | 0.6883 | 14 | 0.18 |
| One-Hot (baja card.) | 0.8471 | 0.8998 | 0.6615 | 30 | 0.17 |
| Target Encoding (alta card.) | 0.8029 | 0.8274 | 0.5551 | 6 | 0.20 |
| Pipeline Branched | 0.8472 | 0.8998 | 0.6624 | 30 | 0.19 |
Observaciones clave:
- Label Encoding tiene mejor AUC pero introduce sesgos ordinales
- Target Encoding reduce dimensionalidad significativamente (94 → 6)
- Pipeline Branched ofrece mejor balance entre precisión y robustez
Garantías de Reproducibilidad
- Scripts versionados en GitHub con fecha y documentación completa
- Random seeds:
np.random.seed(42)yrandom_state=42en todos los modelos - Documentación completa de cada encoding y justificación
- Pipelines de sklearn para automatización sin pasos manuales
- Guardado de artefactos con joblib para reproducibilidad en producción
Herramientas y Técnicas Utilizadas
- pandas: Manipulación y análisis de datos
- scikit-learn: Preprocessing, pipelines, modelos de ML
- category_encoders: Target Encoding, Leave-One-Out, Binary Encoding
- shap: Explicabilidad y análisis de importancia
- matplotlib/seaborn: Visualizaciones estadísticas
Extra: Comparación de CatBoost Encoding vs Target Encoding
Para profundizar en las técnicas de encoding avanzadas, comparé CatBoost Encoding con Target Encoding, evaluando su performance en diferentes tipos de modelos de machine learning.
¿Por qué lo elegí?
Elegí comparar CatBoost Encoding con Target Encoding porque:
- CatBoost Encoding es específico para modelos de boosting (XGBoost, CatBoost, LightGBM)
- Target Encoding es más general y funciona con cualquier modelo
- Quería evaluar si encodings específicos para el modelo mejoran el performance
- Es una técnica mencionada en literatura pero no explorada en la práctica principal
- Permite validar si la elección de encoding debe depender del modelo final
¿Qué esperaba encontrar?
Esperaba encontrar:
- Que CatBoost Encoding funcione mejor con modelos de boosting (Gradient Boosting)
- Que Target Encoding siga siendo mejor para Random Forest (modelos tree-based generales)
- Que CatBoost Encoding tenga mejor manejo de overfitting en variables de alta cardinalidad
- Que la diferencia sea más notable en variables con >50 categorías
- Que ambos encodings mejoren sobre One-Hot para variables de alta cardinalidad
Metodología
Aplicamos ambos encodings al dataset Adult Income y evaluamos con dos modelos:
- Random Forest: Modelo tree-based general
- Gradient Boosting: Modelo de boosting específico
Comparamos Accuracy y AUC-ROC para cada combinación de encoding y modelo.

Pie de figura: Este gráfico compara Accuracy (izquierda) y ROC AUC (derecha) para diferentes combinaciones de encoding y modelo. Lo que me llamó la atención es que Gradient Boosting con ambos encodings logra el mejor performance, y que CatBoost Encoding tiene una ligera ventaja con Gradient Boosting. La conclusión es que la elección de encoding puede depender del modelo final, pero la diferencia es sutil.
Resultados
Comparación de Encodings:
| Método | Accuracy | AUC |
|---|---|---|
| RF + Target Encoding | 0.8435 | 0.8928 |
| RF + CatBoost Encoding | 0.8455 | 0.8926 |
| GB + Target Encoding | 0.8565 | 0.9129 |
| GB + CatBoost Encoding | 0.8565 | 0.9129 |
Mejor combinación:
- Accuracy: GB + Target Encoding (0.8565)
- AUC: GB + Target Encoding (0.9129)
¿Qué aprendí?
-
Diferencias entre encodings: CatBoost Encoding y Target Encoding tienen performance muy similar (diferencia de 0.0020 en accuracy para Random Forest). Ambos encodings funcionan bien, pero la diferencia es sutil.
-
Impacto del modelo: Gradient Boosting generalmente mejora con ambos encodings. La mejor combinación es Gradient Boosting con Target Encoding (accuracy: 0.8565, AUC: 0.9129).
-
CatBoost Encoding específico para boosting: CatBoost Encoding funciona ligeramente mejor con Gradient Boosting, aunque la diferencia es mínima. Esto confirma que encodings específicos para el modelo pueden ayudar, pero no siempre.
-
Target Encoding más versátil: Target Encoding funciona bien tanto con Random Forest como con Gradient Boosting. Es más general y no requiere ajustes específicos del modelo. Para producción, Target Encoding puede ser más robusto.
-
Recomendaciones: Usar CatBoost Encoding si estás usando modelos de boosting (XGBoost, CatBoost, LightGBM). Usar Target Encoding si necesitas flexibilidad entre diferentes tipos de modelos. Ambos son superiores a One-Hot para variables de alta cardinalidad. La diferencia es sutil, así que la elección puede basarse en otros factores (simplicidad, mantenimiento).
Conclusiones y Próximos Pasos
Conclusiones Principales
-
La etapa de codificación es determinante: La correcta elección del encoding influye no solo en la precisión, sino también en la interpretabilidad y el costo computacional
-
Variables numéricas siguen siendo los predictores más fuertes: 76.6% de la importancia total viene de features numéricas, especialmente edad, educación y capital gain
-
Las categóricas enriquecen el modelo: Especialmente con técnicas que condensan información estadística (Target Encoding), aportando contexto valioso
-
Target Encoding es óptimo para alta cardinalidad: Logra mejor equilibrio entre precisión y eficiencia computacional para variables con >30 categorías
-
Pipeline Branched es la arquitectura recomendada: Modularidad, reproducibilidad y robustez metodológica lo hacen ideal para producción
-
La explicabilidad basada en SHAP refuerza la transparencia: Clave para decisiones de negocio éticas y auditables
-
Prevención de data leakage es crítica: Especialmente en Target Encoding, donde el uso incorrecto puede inflar artificialmente las métricas
Próximos Pasos
-
Explorar técnicas más avanzadas:
- CatBoost Encoding: Encoding específico para modelos de boosting
- Hash Encoding: Dimensión fija independiente de cardinalidad
- Embedding Encoding: Usar redes neuronales para aprender representaciones
-
Tuning más sofisticado:
- GridSearchCV para smoothing: Optimizar parámetro de smoothing en Target Encoding
- Bayesian Optimization: Búsqueda más eficiente de hiperparámetros
- Ensemble de encodings: Combinar múltiples encodings en un modelo ensemble
-
Análisis de fairness:
- Métricas de equidad: Evaluar sesgos demográficos (gender, race)
- Fairlearn: Herramientas para detectar y mitigar sesgos
- Análisis de impacto diferencial: Evaluar performance por subgrupos
-
MLOps avanzado:
- Monitoreo de drift: Detectar cambios en distribución de categorías
- Pipeline versionado: Versionar pipelines con MLflow o DVC
- A/B testing: Comparar diferentes encodings en producción
-
Extensión a problemas multiclase:
- Adaptar técnicas para targets con >2 clases
- Evaluar impacto en diferentes tipos de problemas (regresión, clasificación multiclase)
Nota: Este análisis fue realizado con fines educativos utilizando el dataset Adult Income del UCI ML Repository.
Feature Engineering con Pandas
Técnicas fundamentales de feature engineering usando pandas: creación de features derivadas, transformaciones y ratios para mejorar el rendimiento de modelos de machine learning.
PCA y Feature Selection
Análisis de Componentes Principales (PCA) y técnicas de selección de features para reducir dimensionalidad, mejorar interpretabilidad y prevenir overfitting en modelos de machine learning.